文旅数字化整体解决方案供应商
国家高新技术企业,40项软件著作权
招聘大客户经理2名,售后专员1名
关于举办“云驴通杯”第十三届全国旅游院校服务技能(饭店服务)大赛的通知
100+文旅行业渠道企业加盟合作共赢 共图发展
总部合肥,北京/上海/杭州分公司400-6816-267
销售服务热线
售后服务支持系统
专注于文旅数字化产品研发和咨询服务
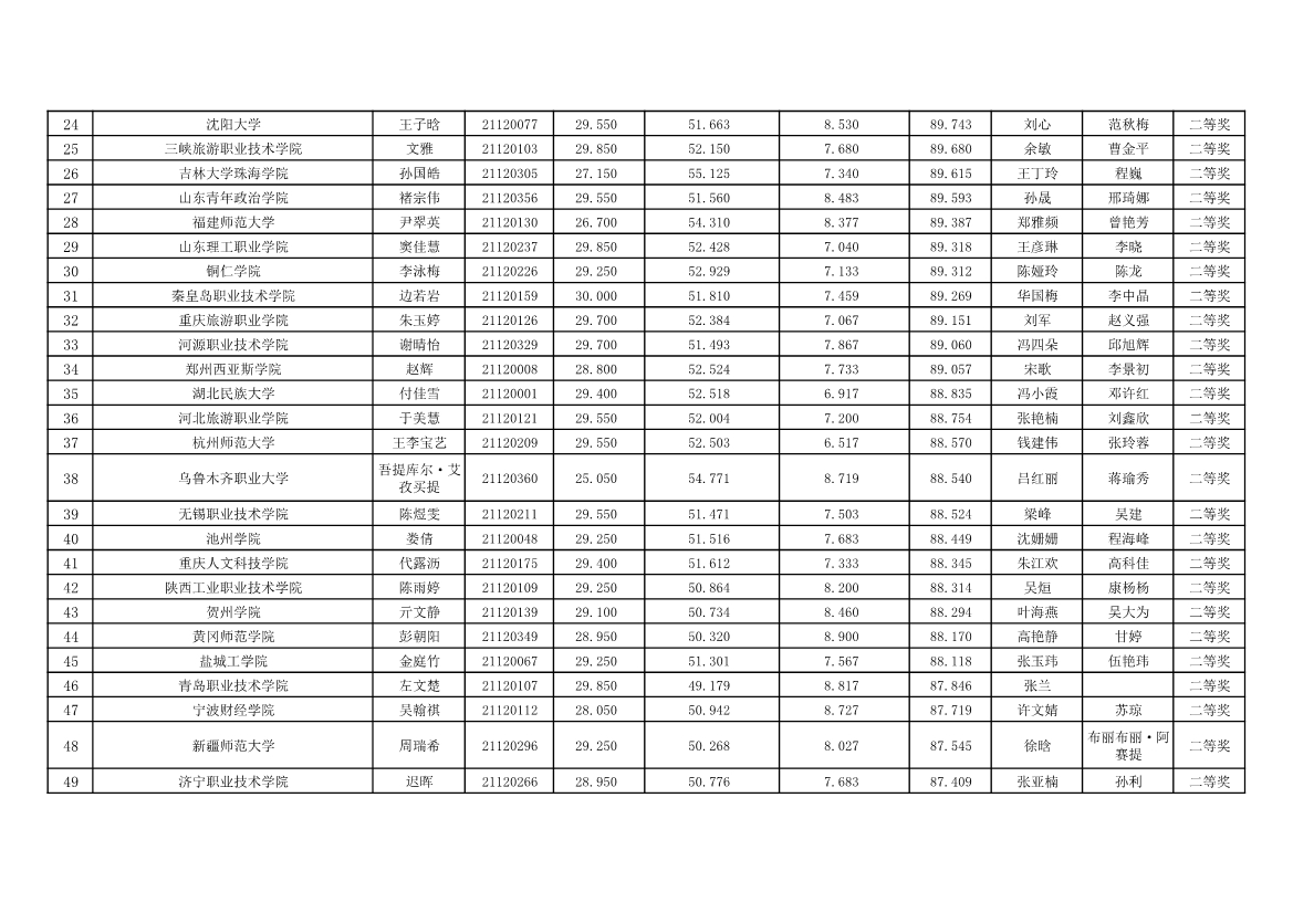
赛场六个人奖成绩,“ 云驴通杯 ” 第十二届全国旅游院校服务技能 ( 导游服务 ) 大赛个人奖获奖情况高等院校组英语导游服务
Don't have an account yet? Sign up
Already have an account? Log in
By continuing you agree to our Terms and Conditions
Enter the email address you used when you joined and we'll send you instructions to reset your password.