“云驴通杯”全国旅游院校服务技能导游服务大赛,赛场一个人奖成绩
官方发布
2021-06-10
阅1153次
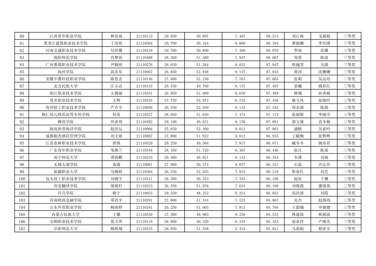
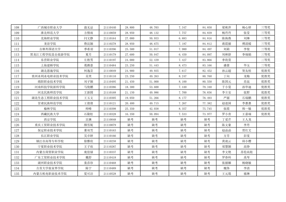
“ 云驴通杯 ” 第十二届全国旅游院校服务技能 ( 导游服务 ) 大赛个人奖获奖情况高等院校组普通话导游服务赛项
“ 云驴通杯 ” 第十二届全国旅游院校服务技能 ( 导游服务 ) 大赛个人奖获奖情况高等院校组普通话导游服务赛项
“ 云驴通杯 ” 第十二届全国旅游院校服务技能 ( 导游服务 ) 大赛个人奖获奖情况高等院校组普通话导游服务赛项
“ 云驴通杯 ” 第十二届全国旅游院校服务技能 ( 导游服务 ) 大赛个人奖获奖情况高等院校组普通话导游服务赛项